Xanthan Gum (E415) được phát hiện bởi Allene Rosalind Jeanes và nhóm nghiên cứu tại Bộ Nông nghiệp Hoa Kỳ. Cho tới năm 1960, chất nhũ hóa này được đưa vào sản xuất với tên thương mại là Kelzan. Vậy Xanthan Gum là gì và ứng dụng của chất nhũ hóa này như thế nào?

Xanthan Gum (E415) là gì?
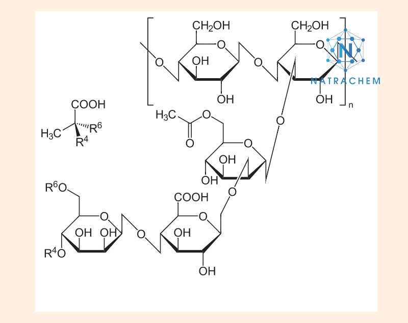
Xanthan Gum là một polysaccharide. Nó là một chất làm đặc, chất nhũ hóa và chất ổn định hiệu quả để tránh sự phân tách của các thành phần cấu tạo trong một sản phẩm. Xanthan Gum có thể được sản xuất từ đường đơn bằng quá trình lên men. Tên của chất này được lấy từ loài vi khuẩn sử dụng để lên men là Xanthomonas campestris.
Công thức phân tử của Xanthan Gum là C35H49O29 (đơn phân). Ở điều kiện tiêu chuẩn, Xanthan Gum tồn tại ở dạng tinh thể bột mịn màu trắng kem, không mùi, không vị.

Ứng dụng của Xanthan Gum (E415)
Xanthan gum nồng độ 1% có thể làm tăng đáng kể độ nhớt của chất lỏng.
Trong hầu hết các loại thực phẩm, nồng độ của Xanthan Gum ở mức 0.5% hoặc nhỏ hơn. Xanthan Gum thường được dùng trong các loại nước sốt đậm đặc như sốt salad, sốt tương ớt, tương cà, sốt thịt nướng để ngăn ngừa sự tách dầu.
Xanthan Gum giúp tạo nên kết cấu khác nhau trong nhiều loại kem. Kem đánh răng thường chứa Xanthan Gum để kết dính phần kem, giữ cho sản phẩm được đồng nhất.

Trong công nghiệp dầu mỏ, chất nhũ hóa E415 được sử dụng với số lượng lớn để làm đặc bùn khoan. Trong mỹ phẩm, Xanthan Gum được sử dụng để điều chế ra các sản phẩm có dạng gel nước.
Xanthan Gum là một trong những chất nhũ hóa được sử dụng nhiều nhất trong các ngành sản xuất. Trên thị trường, lượng lớn là sản phẩm thuộc thương hiệu Wealthy, Yulong, Turkey. Quy cách đóng gói của Xanthan Gum là 25kg/bao. Đừng quên liên hệ với Natrachem nếu bạn cần hỗ trợ bất cứ thông tin gì về Xanthan Gum (E415).



Hãy là người đầu tiên nhận xét “Xanthan Gum (E415) (C35H49O29)”